beat365唯一官网材料基因组工程研究院杨炯教授团队和武汉大学刘惠军教授团队等结合第一性原理高通量计算和玻尔兹曼输运理论等指出了一个长期被忽视的方法,即通过操纵电子群速度来提升体系的泽贝克系数。杨炯教授与武汉大学刘惠军教授为共同通讯作者,该研究成果于北京时间2023年11月23日以"Enhancing the electrical transport properties of two-dimensional semiconductors through interlayer interactions"为题发表在国际著名期刊《Energy & Environmental Science》(最新影响因子:32.5)上在线发表(Energy & Environmental Science,https://pubs.rsc.org/en/content/articlepdf/2023/ee/d3ee03454b)。
在求解电输运系数的玻尔兹曼输运方程中,对电导率和泽贝克系数起决定性作用的是输运谱函数(TD=DOS∙〖v_k〗^2∙τ_k),它包含了电子态密度、群速度和弛豫时间。近二十年来几乎所有的热电材料电输运性质调控都集中在电子态密度与驰豫时间,即能带与散射调控策略。然而群速度对于泽贝克系数的提升作用是一个长期被忽视的因素。究其原因主要是传统的电输运理论中运用了简化的能带形式进行上层的公式推导,造成了对群速度长期的忽视。在本工作中,结合材料设计的理念,通过二维材料的层间相互作用来增加群速度,可以实现提升泽贝克系数的目的(图1)。该工作基于MatHub-2d数据库中的单层二维材料构建了204个双层体系,并对其电子结构和电输运性质进行了高通量筛选。研究发现层间相互作用普遍导致能带发生变化。在129个各向同性体系中,有34个双层体系比相应的单层体系表现出更高的功率因子(图2)。重要的是,As2I6、Sb2I6和 MoSe2双层体系中泽贝克系数的提高可归因于电子群速度的增加,这与急剧的电子态密度有利于热电性能的范式不同。此外,还可以同时增强电导率,这在一定程度上解耦了泽贝克系数和电导率。

图1 通过层间相互作用增加电子群速度,实现泽贝克系数和电导率同时提升的示意图。

图2 双层高通量筛选流程图,及166个半导体双层能带丰富变化的示意图。
为了更好地理解双层中较大的群速度可以提升泽贝克系数的原因,该工作以As2I6体系为例进一步分析。如图3所示,与CBM位于Γ(Nv=1)点的单层相比,As2I6双层的CBM在Γ-K方向上,具有较大的谷简并度(Nv=6)。而且,双层的能带在Γ点处有一个与CBM能量很接近的第二导带底。以上能带特点使得As2I6双层在群速度增加的同时保持DOS几乎不变,导致输运谱函数的增加,从而实现泽贝克系数和电导率的同时提升(图4)。通过COHPs和波函数分析发现,形成双层结构,层间相互作用对电子能带结构和群速度的增加有重要性影响。

图3 As2I6双层的晶体结构,及As2I6双层和单层的电子能带结构。

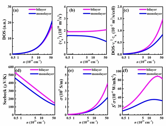
图4 As2I6双层及其单层在300K时,电输运系数随载流子浓度的变化关系。
在本次Energy & Environmental Science的工作中,武汉大学、beat365唯一官网等高校之间的合作,不仅说明了层间相互作用调节能带结构的作用,还强调了群速度对于同时增强泽贝克系数和电导率至关重要,为提升材料的热电性能提供了新的视角。武汉大学物理科学与技术学院博士研究生唐庆航(beat365唯一官网材料基因组工程研究院联合培养)为第一作者。beat365唯一官网材料基因组工程研究院杨炯教授、武汉大学物理科学与技术学院刘惠军教授为论文共同通讯作者。该工作得到了国家自然科学基金委、浙江省之江实验室的合作支持。